2 stycznia 2018
Kategoria:
Aktualności, Elementarz
Autor:
Karolina Kołdys
Bezpieczny przewóz materiałów niebezpiecznych w cysternach możliwy jest dzięki odpowiednio dobranemu zbiornikowi. Należy mieć na uwadze fakt, że cysterny nie powinny być napełniane mediami, które w kontakcie z materiałem konstrukcyjnym zbiornika, uszczelkami, wyposażeniem obsługowym i wykładziną ochronną, mogłyby być źródłem reakcji niebezpiecznej prowadzącej do:
- spalania lub wydzielenia dużych ilości ciepła,
- wydzielania gazów charakteryzujących się zróżnicowanymi zagrożeniami,
- tworzenia materiałów o właściwościach żrących,
- tworzenia materiałów niestabilnych,
- niebezpiecznego, nadmiarowego wzrostu ciśnienia.
Stopień napełnienia
Stopień napełnienia cysterny zależny jest od różnych parametrów. Część z nich będzie stanowiła „mianownik wspólny” dla wszystkich zbiorników i materiałów, np. gęstość materiału ciekłego w temperaturze 15 i 50 stopni Celsjusza oraz średnia temperatura cieczy podczas napełniania, natomiast wpływ pozostałych parametrów zależny będzie od przypadku z jakim mamy styczność. Wśród czynników wpływających na maksymalny stopień napełnienia możemy wyróżnić:
- najwyższą średnią temperaturę ładunku w trakcie przewozu,
- prężność par materiału,
- zagrożenie stwarzane przez materiał,
- natężenie zagrożenia stwarzanego przez materiał,
- obecność zaworów/urządzeń bezpieczeństwa,
- gęstość cieczy w średniej temperaturze cieczy w trakcie napełniania i najwyższej średniej temperaturze ładunku podczas przewozu (dla materiałów przewożonych powyżej ich temperatury topnienia i dla materiałów ciekłych przewożonych w podwyższonej temperaturze).
Pierwszym krokiem do określenia maksymalnego stopnia napełnienia cysterny jest wyliczenie współczynnika rozszerzalności objętościowej materiału ciekłego (współczynnik alfa):

gdzie:
d15 – gęstość materiału ciekłego w temperaturze 15 stopni Celsjusza,
d50 – gęstość materiału ciekłego w temperaturze 50 stopni Celsjusza.
Cysterny przenośne
Dla ogólnego zastosowania maksymalny stopień napełnienia (%) oblicza się zgodnie ze wzorem:

Dla materiałów ciekłych trujących (klasa 6.1) i żrących (klasa 8), wykazujących duże i średnie natężenie zagrożenia dominującego (I i II grupa pakowania) oraz materiałów ciekłych charakteryzujących się prężnością par wyższą niż 175 kPa w 65 stopniach Celsjusza, stopień napełnienia został określony wzorem:

gdzie:
tR – najwyższa średnia temperatura ładunku podczas przewozu (powinna być zakładana jako 50 stopni Celsjusza),
tF – średnia temperatura materiału ciekłego podczas napełniania.
Dla materiałów stałych, które przewożone są powyżej ich temperatury topnienia i materiałów ciekłych, które przewożone są w podwyższonej temperaturze, maksymalny stopień napełnienia został określony za pomocą wzoru:

gdzie:
dr – gęstość cieczy w średniej temperaturze ładunku podczas przewozu,
df – gęstość cieczy w średniej temperaturze materiału w trakcie napełniania.
Cysterny ADR
Dla tych cytern w Umowie ADR wyszczególniono większą ilość wzorów obliczeniowych.
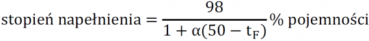
1.Stopień napełnienia dla cystern wyposażonych w zawory oddechowe lub zawory bezpieczeństwa w których przewożone są materiały ciekłe w temperaturze otoczenia: zapalne, zagrażające środowisku i materiały zapalne zagrażające środowisku niestwarzające zagrożeń dodatkowych, oblicza się według wzoru:

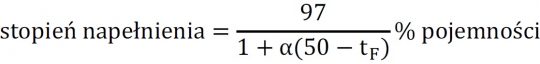
2. Stopień napełnienia dla cystern wyposażonych w zawory oddechowe lub zawory bezpieczeństwa w których przewożone są materiały ciekłe w temperaturze otoczenia: trujących lub żrących (zapalnych lub niezapalnych zagrażających środowisku lub niezagrażających środowisku), oblicza się według wzoru:

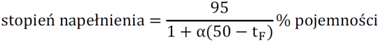
3. Stopień napełnienia dla cystern zamkniętych hermetycznie bez urządzenia zabezpieczającego w których przewożone są materiały ciekłe w temperaturze otoczenia: zapalne, zagrażające środowisku i słabo trujące/słabo żrące (zapalne lub niezapalne lub zagrażające środowisku lub niezagrażające środowisku), oblicza się według wzoru:

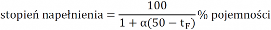
4. Stopień napełnienia dla cystern zamkniętych hermetycznie bez urządzenia zabezpieczającego w których przewożone są materiały ciekłe w temperaturze otoczenia: silnie trujące/trujące i silnie żrące/żrące (zapalne lub niezapalne lub zagrażające środowisku lub niezagrażające środowisku), oblicza się według wzoru:

Jak uprościć procedurę wyboru wzoru?

Przykładowe obliczenia
Wybór wzoru – BENZYNA SILNIKOWA, UN 1203
Informacje z wykazu towarów niebezpiecznych a przełożenie praktyczne

Wzór na stopień napełnienia warto wybierać w sposób stopniowy, drogą eliminacji.
Krok 1 – określam zagrożenie dominujące stwarzane przez materiał na podstawie klasy
Klasa 3 → Materiał zapalny (odpowiednie wzory na tym etapie to wzór nr 1 i nr 3)
Krok 2 – określam czy do realizacji przewozu wymagany jest zbiornik zamknięty hermetycznie
Kod cysterny LGBF → F (cysterna nie jest zamknięta hermetycznie, jest to cysterna z urządzeniem oddechowym, wyposażonym w urządzenie zabezpieczające przed rozprzestrzenianiem się płomienia lub cysterna odporna na ciśnienie wybuchu) → wzór nr 1

Obliczenia
